تبدیل اعداد دکارتی به قطبی و برعکس در متلب

در این مقاله با تبدیل اعداد دکارتی به اعداد قطبی در محیط Matlab آشنا میشویم.
همه ما می دانیم که چگونه می توان اعداد را به صورت دستی از دکارتی به قطبی و از قطبی به دکارتی تبدیل کرد ، در اینجا سعی خواهیم کرد توابع Matlab را که به شما کمک می کند اعداد را از فرم قطبی به شکل دکارتی و بالعکس تبدیل کنید ، آشنا کنیم.
تبدیل قطبی به دکارتی در Matlab
برای تبدیل عددی از فرم قطبی به دکارتی در Matlab ، می توانید از تابع pol2cart استفاده کنید.
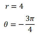
بگذارید شماره زیر را برای تبدیل داشته باشیم

جایی که شعاع و زاویه به ترتیب برابر هستند با:

کد این کار در متلب برابر است با:
[RealPart, ImagPart]=pol2cart(-3*pi/4,4); disp(['Real= ',num2str(RealPart),'; imag= ', num2str(ImagPart)]);
که خروجی زیر را نمایش میدهد:
![]()
تبدیل فرم دکارتی به قطبی در متلب
تبدیل از دکارتی به قطبی کمی مشکل است ، زیرا مقدار زاویه را میتوان اشتباه برداشت کرد.
اجازه دهید مورد زیر را به فرم قطبی تبدیل کنیم:
![]()
برای انجام این کار در Matlab ، از کد زیر استفاده کنید.
[rad,mag]=cart2pol(2,3); deg=rad*(180/pi); disp(['mag= ',num2str(mag),'; rad= ',num2str(rad),'; deg= ',num2str(deg)]);
که خروجی زیر را نشان میدهد:
![]()
در اینجا نتیجه را از رادیان به درجه تبدیل کردیم.









