اتصالات ترانزیستور BJT (پیوند دو قطبی)

ترانزیستور اتصال دوقطبی یک ترانزیستور سه ترمیناله است. استفاده از ترانزیستور چه به عنوان تقویت کننده (آمپلی فایر) و چه به عنوان کلید هر چه که باشد می بایست دارای یک مدار ورودی و یک مدار خروجی باشد. به منظور ساده سازی مدار ورودی و خروجی، یک ترانزیستور باید دارای چهار ترمینال باشد که دو ترمینال برای ورودی می باشد و دو ترمینال نیز برای مدار خروجی در نظر گرفته می شود. برای مرتفع کردن نیاز به چهار ترمینال، تنها از سه ترمینال ترانزیستور استفاده می شود و یک ترمینال در ترانزیستور به عنوان ترمینال مشترک برای مدار ورودی و خروجی استفاده می شود. اینکه کدام ترمینال به عنوان ترمینال مشترک (Common) در ترانزیستور انتخاب می شود بستگی به کاربرد ترانزیستور دارد. بسته به تنوع طراحی مدار، اتصالات ترانزیستور بر سه نوع است.
- ترانزیستور بیس مشترک یا Common Base
- ترانزیستور امیتر مشترک یا Common Emitter
- ترانزیستور کلکتور مشترک یا Common Collector
در اینجا یک نکته را باید به خاطر داشت که اتصال ترانزیستور هر چه باشد، می بایست پیوند بیس-امیتر به صورت بایاس مستقیم و پیوند بیس-کلکتور به صورت بایاس معکوس باشد.
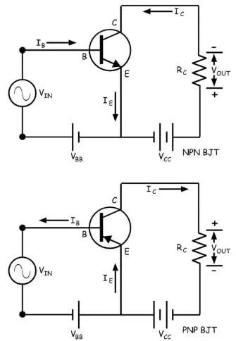
اتصال بیس مشترک BJT
در اینجا ترمینال بیس برای هر دو مدار ورودی و خروجی مشترک است. طراحی ها یا حالت های بیس مشترک مانند شکل زیر هستند. در اینجا، حالت بیس مشترک ترانزیستور npn و ترانزیستور pnp به طور جداگانه نشان داده شده است.

در اینجا مدار بیس امیتر به عنوان مدار ورودی و مدار بیس کلکتور به عنوان مدار خروجی در نظر گرفته می شود.
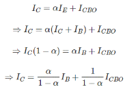
گین جریان (بهره جریان)
در اینجا جریان ورودی همان جریان امیتر IE و جریان خروجی IC جریان کلکتور است. بهره جریان زمانی در نظر گرفته می شود که ما فقط ولتاژهای بایاس dc مدار را در نظر می گیریم و سیگنال متناوب در ورودی اعمال نمی شود.
![]()
حال اگر سیگنال متناوب اعمال شده به ورودی را در نظر بگیریم، ضریب تقویت جریان (α) در یک ولتاژ بیس-کلکتور ثابت، خواهد بود:
![]()
در اینجا مشاهده می شود که هیچ کدام از ضریب افزایش جریان و ضریب تقویت جریان میزانی بیش از یک واحد ندارند زیرا جریان کلکتور به هیچ وجه نمی تواند بیشتر از جریان امیتر باشد. اما همانطور که می دانیم جریان امیتر و جریان کلکتور در یک ترانزیستور پیوند دوقطبی تقریباً برابر هستند، این نسبت ها بسیار نزدیک به واحد (عدد 1) خواهند بود. این مقدار به طور کلی از 9/0 تا حتی 99/0 متغیر است.
عبارت جریان کالکتور
اگر امیتر مدار باز باشد، جریان امیتر وجود نخواهد داشت (IC = 0). اما در این شرایط جریان کوچکی از ناحیه کلکتور عبور می کند. این امر به دلیل جریان حامل های بار اقلیت است و این جریان نشتی معکوس است. این جریان از کلکتور و بیس عبور می کند و ترمینال امیتر را باز نگه می دارد، این جریان به صورت ICBO نشان داده می شود. در ترانزیستور توان پایین، جریان نشتی معکوس ICBO بسیار کم است و به طور کلی در طول محاسبات از آن صرفه نظر می کنیم اما در ترانزیستور توان بالا نمی توان این جریان نشتی را نادیده گرفت. این جریان به شدت به دما وابسته است بنابراین در دماهای بالا نمی توان جریان نشتی معکوس ICBO را در حین محاسبات نادیده گرفت.

این عبارت ثابت می کند که جریان کلکتور به جریان بیس نیز بستگی دارد.
ویژگی اتصال بیس مشترک
مشخصه ورودی
این منحنی مشخصه بین جریان ورودی و ولتاژ ورودی خود ترانزیستور رسم می شود. جریان ورودی امیتر، جریان (IE) و ولتاژ ورودی ولتاژ بیس-امیتر (VEB) است. پس از عبور از مانع پیوند مستقیم بیس-امیتر، جریان پتانسیل امیتر (IE) با افزایش ولتاژ بیس-امیتر (VEB) شروع به افزایش تصاعدی می کند.

مقاومت ورودی مدار، نسبت تغییر ولتاژ پایه امیتر (ΔVEB) به جریان امیتر (ΔIE) در یک ولتاژ پایه کلکتور ثابت (VCB = ثابت) است. از آنجایی که تغییر در جریان امیتر در مقایسه با تغییر ولتاژ بیس-امیتر (ΔIE >> ΔVEB) بسیار زیاد است، مقاومت ورودی ترانزیستور بیس مشترک بسیار کوچک است.
![]()
مشخصه خروجی
جریان کلکتور تنها زمانی مقدار ثابتی دریافت می کند که بایاس معکوس کافی بین ناحیه بیس و کلکتور ایجاد شود. به همین دلیل است که جریان کلکتور با افزایش ولتاژ بیس-کلکتور هنگامی که این ولتاژ مقدار بسیار پایینی دارد، افزایش می یابد. اما پس از یک ولتاژ مشخص بیس-کلکتور، پیوند بیس-کلکتور به اندازه کافی بایاس معکوس می شود و از این رو جریان کلکتور با یک جریان امیتر مشخص به صورت مقداری ثابت می شود و کاملاً به جریان امیتر بستگی دارد. در این شرایط، کل جریان امیتر به جز جریان بیس، جریان کلکتور را تامین می کند. از آنجایی که جریان کلکتور برای جریان امیتر مشخص شده در آن ناحیه دارای مشخصه تقریباً ثابت می شود، افزایش جریان کلکتور در مقایسه با افزایش ولتاژ بیس-کلکتور بسیار ناچیز است.

نسبت تغییر در ولتاژ بیس-کلکتور به تغییر در جریان کلکتور به عنوان مقاومت خروجی حالت بیس مشترک ترانزیستور تعریف می شود. به طور طبیعی، مقدار مقاومت خروجی در حالت بیس مشترک ترانزیستور بسیار بالا است.
![]()
اتصال امیتر مشترک BJT
ترانزیستور امیتر مشترک رایج ترین اتصال ترانزیستور است. در این حالت ترمینال امیتر برای مدار ورودی و خروجی مشترک است. مدار متصل بین بیس و امیتر مدار ورودی و مدار متصل بین کلکتور و امیتر مدار خروجی در نظر گرفته می شود. حالت امیتر مشترک ترانزیستور npn و ترانزیستور pnp به طور جداگانه در شکل زیر نشان داده شده است.

گین جریان
در طراحی امیتر مشترک، جریان ورودی جریان بیس (IB) و جریان خروجی جریان کلکتور (IC) است. در ترانزیستور پیوند دوقطبی، جریان بیس جریان کلکتور را کنترل می کند. نسبت تغییر در جریان کلکتور (ΔIC) به تغییر در جریان بیس (ΔIB) به عنوان بهره جریان ترانزیستور امیتر مشترک تعریف می شود. در یک ترانزیستور پیوند دوقطبی، جریان امیتر (IE) مجموع جریان بیس (IB) و جریان کلکتور (IC) است. اگر جریان بیس تغییر کند، جریان کلکتور نیز تغییر می کند و در نهایت جریان امیتر نیز تغییر می کند.
![]()
مجدداً تاکید می شود که نسبت تغییر جریان کلکتور به تغییر متناظر در جریان امیتر با α نشان داده می شود.
از آنجایی که مقدار جریان بیس در مقایسه با جریان کلکتور (IB << IC) بسیار کم است، افزایش جریان در یک ترانزیستور امیتر مشترک بسیار زیاد است و از 20 تا 500 متغیر است.
مشخصه ترانزیستور امیتر مشترک
در حالت امیتر مشترک ترانزیستور، دو مدار وجود دارد. یکی مدار ورودی و دیگری مدار خروجی است. در مدار ورودی، پارامترها جریان بیس و ولتاژ بیس-امیتر هستند. منحنی مشخصه ترسیم شده در برابر تغییرات جریان بیس و ولتاژ بیس-امیتر مشخصه ورودی یک ترانزیستور امیتر مشترک است. اتصال pn بین بیس و امیتر بایاس مستقیم است، بنابراین این ویژگی مشابه دیود پیوند pn بایاس مستقیم است. در اینجا نیز جریان بیس پیش از عبور ولتاژ بیس-امیتر از اتصال پتانسیل مانع مستقیم، مقداری دریافت نمی کند، اما پس از آن، جریان بیس با افزایش ولتاژ بیس-امیتر به طور قابل توجهی افزایش می یابد. نرخ افزایش جریان بیس با توجه به ولتاژ بیس-امیتر در اینجا زیاد است اما به اندازه حالت بیس مشترک نیست.

بنابراین مقاومت ورودی مدار بالاتر از حالت بیس مشترک ترانزیستور است.
![]()
مشخصه خروجی ترانزیستور امیتر مشترک
مشخصه خروجی در برابر تغییرات جریان خروجی و ولتاژ خروجی ترانزیستور ترسیم می شود. جریان کلکتور، جریان خروجی و ولتاژ کلکتور-امیتر ولتاژ خروجی ترانزیستور است. در اینجا تغییر جریان کلکتور برای مقادیر مختلف ولتاژ بیس-کلکتور در برابر مقدار ثابت جریان بیس رسم می شود. اثبات شده است که در ابتدا جریان کلکتور با افزایش ولتاژ کلکتور-امیتر به نسبت افزایش می یابد اما پس از یک سطح ولتاژ مشخص، جریان کلکتور تقریباً ثابت می شود. این پدیده به این دلیل است که در ابتدا اتصال بیس-کلکتور بایاس معکوس کافی دریافت نمی کند اما پس از یک ولتاژ معین به اندازه کافی بایاس معکوس می شود و سپس بخش عمده حامل های بار که از ناحیه امیتر به ناحیه بیس می آیند به ناحیه کلکتور به جهت کمک به جریان کلکتور مهاجرت می کنند. تعداد حامل های اصلی که از ناحیه امیتر می آیند به جریان بیس در یک BJT بستگی دارد، بنابراین برای یک جریان بیس خاص، جریان کلکتور ثابت است.

مقاومت خروجی به صورت زیر است:
![]()
اتصال کلکتور مشترک BJT
در طراحی کلکتور مشترک، مدار ورودی بین بیس و ترمینال کلکتور و مدار خروجی میان امیتر و ترمینال کلکتور است.

نسبت تغییر جریان امیتر به تغییر جریان بیس به عنوان بهره جریان طراحی کلکتور مشترک تعریف می شود. این بهره به صورت زیر مشخص می شود:
![]()
ضریب تقویت جریان مدار، نسبت تغییر جریان امیتر به تغییر جریان بیس در زمانی است که یک سیگنال متغیر با زمان به ورودی اعمال می شود.
![]()
مشخصه ورودی ترانزیستور کلکتور مشترک
جریان ورودی جریان بیس و ولتاژ ورودی ترانزیستور ولتاژ بیس-کلکتور است. اتصال بیس-کلکتور بایاس معکوس است و از این رو با افزایش ولتاژ بیس-کلکتور، بایاس معکوس اتصال افزایش می یابد. این باعث می شود که جریان بیس با افزایش ولتاژ بیس-کلکتور کمی کاهش یابد. از آنجایی که در این شرایط تعداد بیشتری حامل های اقلیت از ناحیه بیس به ناحیه جمع کننده انتشار می یابند و در نتیجه نرخ نوترکیب الکترون-حفره در ناحیه بیس کاهش می یابد و باعث کاهش جریان بیس می شود.

مشخصه خروجی ترانزیستور کلکتور مشترک
مشخصه خروجی ترانزیستور کلکتور مشترک تقریباً با مشخصه خروجی ترانزیستور امیتر مشترک یکسان است. تنها تفاوتی که در اینجا در مورد طراحی کلکتور مشترک وجود دارد، جریان خروجی به جای جریان کلکتور، جریان امیتر است، همانطور که در مورد طراحی امیتر مشترک چنین بوده است. در اینجا نیز برای یک جریان بیس ثابت، جریان امیتر با افزایش ولتاژ کلکتور-امیتر تا سطح معینی از این ولتاژ به صورت خطی افزایش می یابد و سپس جریان امیتر بدون توجه به ولتاژ کلکتور-امیتر تقریباً ثابت می شود. اگرچه افزایش بسیار آهسته جریان امیتر با ولتاژ کلکتور-امیتر همانطور که در منحنی مشخصه زیر نشان داده شده است وجود خواهد داشت.










