ضرب ماتریس ها در متلب

در اینجا ، ما در مورد دو نوع ضرب ماتریس صحبت می کنیم و اینکه چگونه می توانید آنها را به صورت دستی و با استفاده از Matlab انجام دهید. یکی از بهترین روش ها برای آزمایش درک خود از موارد زیر این است که آنها را به صورت دستی انجام دهید و سپس از Matlab برای بررسی نتیجه خود استفاده کنید.
یادآوری نظریه ضرب ماتریس ها
بیایید ماتریس های زیر را در نظر بگیریم.

در اینجا فرمول ضرب ماتریس های فوق آمده است ، و من به شدت توصیه می کنم که خواص ضرب ماتریس و از همه مهمتر توافق ابعادی را که بین دو ماتریس که باید بخشی از ضرب باشند بررسی کنید.

به طور کلی ، اگر A یک ماتریس n × m و B یک ماتریس m × p است ، محصول ماتریس AB آنها یک ماتریس n × p است که در آن عناصر m در ردیف های A با عناصر m در ستون های B ضرب می شود.
ضرب ماتریس عنصر به عنصر
در طرف دیگر ، ما ضرب ماتریس عنصر به عنصر را داریم ، که یک عملیات ساده است.
این به سادگی محصول ماتریس ها است ، این نوع تنها زمانی کار می کند که ابعاد ماتریس ها برابر باشد. به طور دقیق تر ، اگر A یک ماتریس n × m است ، B باید یک ماتریس n × m باشد تا این کار کند.
ضرب ماتریس ها در متلب
کد زیر به شما امکان می دهد یک محصول ماتریسی در Matlab پیدا کنید
C=A*B
و این یکی کد یافتن محصول ماتریس ها به صورت عنصر به عنصر است
C=A.*B
مثالهای ضرب ماتریس
مثال 1
اگر مقدار منطقی A و B را تغییر دهیم ، باید بدانیم که C محصول ماتریس است و D ضرب ماتریس عنصر به عنصر است.

کد متلب
A=[1 2 2; 1 0 5; 3 1 2]; B=[3 2 5;3 0 0; 1 1 2]; C=A*B D=A.*B
نتایج

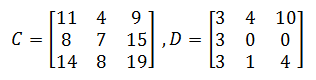
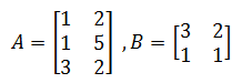
مثال 2

کد متلب
A=[1 2;1 5;3 2]; B=[3 2;1 1]; C=A*B
نتایج

مثال 3

کد متلب
A=[1 2;1 5;3 2]; B=[3 2;3 0; 1 1]; D=A.*B
نتایج










