فیلتر میان گذر + معادلات (مدار پسیو و اکتیو فیلتر میان گذر)

فیلتر میان گذر که همچنین به عنوان BPF شناخته می شود به عنوان سیستمی تعریف می شود که اجازه عبور فرکانس هایی را در یک محدوده فرکانسی خاص داده و مانع عبور فرکانس های خارج از آن محدوده می شود.
فیلتر پایین گذر برای جداسازی سیگنال هایی که فرکانس های بالاتر از فرکانس قطع دارند استفاده می شود. به طور مشابه، فیلتر بالا گذر برای جداسازی سیگنال هایی که فرکانس های کمتر از فرکانس قطع دارند، استفاده می شود.
با اتصال فیلتر بالا گذر به فیلتر پایین گذر فیلتر دیگری ساخته می شود که اجازه عبور سیگنال با محدوده یا باند فرکانسی خاص را می دهد و سیگنال هایی را که فرکانس های خارج از این باند دارند را تضعیف می کند. این نوع فیلتر به عنوان فیلتر میان گذر شناخته می شود.
فیلتر میان گذر دارای دو فرکانس قطع است. اولین فرکانس قطع از یک فیلتر بالا گذر است. فیلتر بالا گذر محدودیت فرکانس بالای باند را تعیین می کند که به عنوان فرکانس قطع بالا (fc-high) شناخته می شود. فرکانس قطع دوم از فیلتر پایین گذر است. این فیلتر محدودیت فرکانس پایین باند را تعیین می کند و فرکانس قطع پایین (fc-low) نامیده می شود.
مدار فیلتر میان گذر
فیلتر میان گذر ترکیبی از فیلتر های پایین گذر و بالا گذر است. بنابراین، دیاگرام مدار شامل مدار فیلتر های بالا گذر و پایین گذر است. دیاگرام مدار فیلتر میان گذر پسیو RC مطابق شکل زیر است.

نیمه اول مدار یک فیلتر بالا گذر پسیو RC است. این فیلتر به سیگنال هایی که فرکانس های بالاتر از فرکانس قطع پایین (fc-low) دارند اجازه عبور می دهد و سیگنال هایی که فرکانس کمتر از (fc-low) دارند را تضعیف می کند.
نیمه دوم مدار یک فیلتر پایین گذر پسیو RC است. این فیلتر سیگنال هایی را که فرکانس کمتری از فرکانس قطع بالا (fc-high) دارند، اجازه عبور می دهد و سیگنال هایی را که فرکانس های بالاتر از (fc-high) دارند را تضعیف می کند.

باند یا ناحیه فرکانسی که در آن فیلتر میان گذر اجازه عبور سیگنال را می دهد به عنوان پهنای باند شناخته می شود. پهنای باند تفاوت بین مقدار بالا و پایین فرکانس قطع است.
![]()
انواع فیلتر میان گذر
انواع مختلفی از مدارها با فیلتر میان گذر طراحی شده است. بیایید انواع اصلی این مدارها را با جزئیات بررسی کنیم.
فیلتر میان گذر اکتیو (فعال)
فیلتر میان گذر اکتیو یک اتصال از فیلتر بالا گذر و پایین گذر به همراه تقویت کننده است که در شکل زیر نشان داده شده است.

دیاگرام مدار با فیلتر میان گذر اکتیو به سه قسمت تقسیم می شود. قسمت اول برای فیلتر بالا گذر است. سپس از آپ امپ برای تقویت استفاده می شود. آخرین قسمت مدار فیلتر پایین گذر است. شکل زیر دیاگرام مدار فیلتر میان گذر اکتیو را نشان می دهد.

فیلتر میان گذر پسیو (غیرفعال)
فیلتر پسیو از اجزای غیرفعال مانند مقاومت ها، خازن ها و سلف ها تشکیل شده است. بنابراین فیلتر میان گذر پسیو فقط از اجزای غیرفعال استفاده می کند و از آپ-امپ برای تقویت استفاده نمی کند. بنابراین، مانند فیلتر میان گذر اکتیو، قسمت تقویت در فیلتر میان گذر پسیو وجود ندارد.
فیلتر میان گذر اکتیو ترکیبی از فیلتر های پسیو بالا گذر و پایین گذر است. بنابراین، دیاگرام مدار شامل مدار های فیلتر بالا گذر و پایین گذر نیز می باشد.

نیمه اول مدار برای فیلتر بالا گذر پسیو و نیمه دوم برای فیلتر پایین گذر پسیو است.
فیلتر میان گذر RLC
همانطور که از نام RLC پیداست، این فیلتر شامل مقاومت، سلف و خازن است. این نیز یک فیلتر میان گذر پسیو است.
با توجه به اتصال RLC، فیلتر میان گذر RLC دو پیکربندی مدار دارد. در پیکربندی اول، مدار سری LC به صورت سری به مقاومت بار متصل می شود. پیکربندی دوم این است که مدار موازی LC به صورت موازی به یک مقاومت بار متصل شده است.

پهنای باند فیلتر میان گذر سری و موازی RLC مطابق معادلات زیر است.
پهنای باند فیلتر سری RLC برابر است با:

پهنای باند برای فیلتر RLC موازی برابر است با:

فیلتر میان گذر عریض
با توجه به اندازه پهنای باند، می توان آن را به یک فیلتر میان گذر عریض یا یک فیلتر میان گذر باریک تقسیم کرد. اگر ضریب Q کمتر از 10 باشد، فیلتر به عنوان فیلتر عریض شناخته می شود. همانطور که از نام آن مشخص است، پهنای باند برای فیلتر عریض گسترده است.
در این نوع فیلتر، فیلتر بالا گذر و پایین گذر بخش های مختلفی از یک فیلتر میان گذر پسیو هستند.
شکل دیگری از مدار نیز وجود دارد که می توان با استفاده از یک فیلتر بالا گذر اکتیو و یک فیلتر پایین گذر اکتیو ایجاد کرد. دیاگرام مدار این فیلتر مطابق شکل زیر است که نیمه اول برای فیلتر بالا گذر اکتیو و نیمه دوم برای فیلتر پایین گذر اکتیو است.

طراحی مدار برای پهنای باند عریض آسان است.
فیلتر میان گذر باریک
فیلتر میان گذری که دارای ضریب Q بیشتر از ده است به عنوان فیلتر میان گذر باریک شناخته می شود. پهنای باند این فیلتر باریک است. بنابراین، سیگنال هایی با محدوده فرکانسی کوچکی را عبور می دهد. این فیلتر میان گذر فقط از یک آپ-امپ استفاده می کند.
این فیلتر میان گذر به عنوان فیلتر فیدبک چند گانه نیز شناخته می شود زیرا دو مسیر فیدبک در آن وجود دارد.
در این فیلتر میان گذر از آپ-امپ در حالت غیر معکوس استفاده می شود. دیاگرام مدار فیلتر میان گذر باریک در شکل زیر نشان داده شده است.

شکل زیر تفاوت پاسخ فرکانسی را بین فیلتر میان گذر عریض و فیلتر میان گذر باریک نشان می دهد.

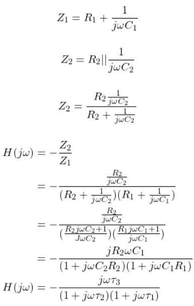
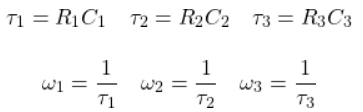
تابع انتقال فیلتر میان گذر
تابع انتقال فیلتر میان گذر مرتبه اول
فیلتر میان گذر مرتبه اول وجود ندارد، زیرا فیلتر میان گذر حداقل دارای دو عنصر ذخیره انرژی (خازن یا سلف) است. بنابراین، تابع انتقال فیلتر میان گذر مرتبه دوم است و معادلات آن به صورت زیر می باشد.
تابع انتقال فیلتر میان گذر مرتبه دوم
یک تابع انتقال فیلتر میان گذر مرتبه دوم در زیر شکل نشان داده شده است.

که داریم:

مقادیر زیر باید در معادله قرار داده شود:

برای فیلتر میان گذر، شرط زیر باید برآورده شود.
![]()
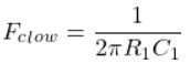
فرکانس قطع فیلتر میان گذر
فیلتر میان گذر ترکیبی از دو فیلتر بالا گذر و پایین گذر است. بنابراین دارای دو فرکانس قطع است. یک فرکانس قطع از فیلتر بالا گذر بدست می آید و به عنوان Fc-high نشان داده می شود. فیلتر به سیگنالی که فرکانس آن بیشتر از Fc-high باشد اجازه عبور می دهد. مقدار Fc-high از فرمول زیر محاسبه می شود.

فرکانس قطع دوم از فیلتر پایین گذر بدست می آید و به عنوان Fc-low نشان داده می شود. این فیلتر به سیگنالی که فرکانس آن کمتر از Fc-low باشد اجازه عبور می دهد. مقدار Fc-low از فرمول زیر محاسبه می شود.

عملکرد فیلتر میان گذر بین فرکانس های Fc-high و Fc-low است. محدوده بین این فرکانس ها به عنوان پهنای باند شناخته می شود. بنابراین پهنای باند به صورت معادله زیر تعریف می شود.
![]()
فرکانس قطع فیلتر بالا گذر مقدار پایین پهنای باند و فرکانس قطع فیلتر پایین گذر مقدار بالای پهنای باند را تعیین می کند.
نمودار بود یا پاسخ فرکانسی فیلتر میان گذر
شکل بالا نمودار بود یا پاسخ فرکانسی و نمودار فاز فیلتر میان گذر را نشان می دهد. فیلتر به سیگنالی که دارای فرکانس بین پهنای باند است اجازه عبور می دهد.
فیلتر میان گذر سیگنال هایی را که فرکانس آن ها کمتر از فرکانس قطع فیلتر بالا گذر است را تضعیف می کند و تا زمانی که سیگنال به نقطه فرکانس قطع پایین یعنی FL برسد، خروجی با شیب DB/Decade20+ مانند فیلتر بالا گذر افزایش می یابد.
پس از آن، خروجی با حداکثر بهره به صورت ثابت ادامه می یابد تا به نقطه فرکانس قطع بالا یعنی FH برسد. سپس خروجی با شیب DB/Decade 20- مانند فیلتر پایین گذر کاهش می یابد.
فیلتر میان گذر یک فیلتر مرتبه دوم است زیرا دارای دو جزء پسیو در مدار است. بنابراین اختلاف فاز آن دو برابر فیلتر مرتبه اول و 180 درجه است.
تا فرکانس مرکزی (Fcenter)، سیگنال خروجی ورودی را 90 درجه هدایت می کند. در فرکانس مرکزی، سیگنال خروجی با ورودی هم فاز است. بنابراین، اختلاف فاز 0 درجه است. پس از فرکانس مرکزی، سیگنال خروجی 90 درجه از ورودی عقب می افتد.
فیلتر میان گذر ایده آل
یک فیلتر میان گذر ایده آل فرکانس های کمتر از FL و بیشتر از FH را حذف می کند و اجازه عبور سیگنال ها را دقیقاً بین FL و FH می دهد. شکل فیلتر میان گذر ایده آل مانند پاسخ پله است. یک فیلتر ایده آل سیگنال را دقیقاً در FL با شیب DB/Decade 0 اجازه عبور می دهد و سیگنال هایی را که فرکانس آن ها بیشتر از FH است تضعیف می کند.
پاسخ فرکانسی فیلتر میان گذر ایده آل مطابق شکل زیر است. این نوع پاسخ نمی تواند منجر به فیلتر میان گذر واقعی شود.
معادله فیلتر میان گذر ایده آل
هنگامی که فرکانس سیگنال در محدوده پهنای باند باشد، فیلتر سیگنال را با امپدانس ورودی اجازه عبور می دهد. و زمانی که فرکانس سیگنال خارج از پهنای باند باشد، خروجی صفر است.
برای فیلتر میان گذر ایده آل داریم:

کاربرد های فیلتر میان گذر
فیلترهای میان گذر به طور گسترده در مدارهای تقویت کننده صدا استفاده می شوند. به عنوان مثال، از بلندگو فقط برای پخش یک محدوده دلخواه از فرکانس ها و نادیده گرفتن بقیه فرکانس ها استفاده می شود.
- برای کاربرد های نوری مانند لیزر، لیدار و… استفاده می شود.
- این فیلترها در یک سیستم ارتباطی برای انتخاب سیگنال با پهنای باند خاص استفاده می شوند.
- در پردازش سیگنال صوتی استفاده می شود.
- همچنین برای بهینه سازی نسبت سیگنال به نویز و حساسیت گیرنده استفاده می شود.
نمونه طراحی فیلتر میان گذر
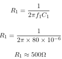
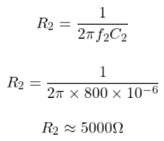
حال که با فیلتر میان گذر آشنا شدید، بیایید یک فیلتر با پهنای باند خاص طراحی کنیم. ما فیلتری می سازیم که سیگنال هایی را که فرکانس هایی در محدوده 80 هرتز تا 800 هرتز دارند، اجازه عبور می دهد.
- F1 = 80 هرتز
- F2 = 800 هرتز
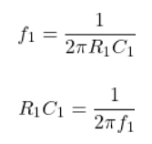
برای این مثال، ما یک فیلتر RC پسیو ساده برای محدوده مشخصی از فرکانس می سازیم. بنابراین، باید مقدار R1، C1، R2 و C2 را محاسبه کنیم.


به طور مشابه داریم:

ما باید یکی از دو مقدار مقاومت و ظرفیت را مشخص کنیم. در اینجا مقدار C1 و C2 را 10 و 6 فاراد در نظر می گیریم. حال مقدار مقاومت را با توجه به مقدار C1، C2، و F1، F2 محاسبه می کنیم.
![]()
برای مقدار مقاومت R1 خواهیم داشت:

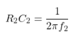
همچنین مقاومت R2 به طور مشابه به دست می آید:

اکنون، ما همه مقادیر را داریم و با این مقادیر می توانیم فیلتری بسازیم که سیگنال ها را در پهنای باند خاصی عبور می دهد.









